Volume of Hemisphere
What is half a sphere is called as a Hemisphere. “Hemi” is a Greek Word, the meaning of “Half”. “Sphaere” is a Latin word, meaning of “globe” or a spherical/round object. “Hemisphaere” is a Latin word and in English it is Hemisphere. For most of the calculation, you will need Volume of the Hemisphere and this article will help you to find the equations to find the Volume of Hemisphere.

Hemisphere Definition
The hemisphere is the half of a Sphere. In a different way, we can say that when a plane cuts a sphere at the center two hemispheres are formed.

Volume of Hemisphere
To calculate the volume of a hemisphere, we need to know its radius, which represents the distance from the center of the sphere to any point on its surface.

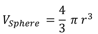
The easiest way to find the volume of the hemisphere is to get the hemisphere as part of the full sphere. 1st you can find the volume of the sphere.

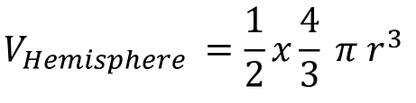
Hemisphere is half of the sphere. Then you can divide the volume of the sphere by two.

Let’s add volume of sphere equation.

The final equation is look like below.

Applications of Hemispheres
Most of the time you can see hemisphere shapes with other geometries. However, knowing about hemispheres will help you to do different designs. Following are some examples of hemispheres.
- Architectural Domes
- Cooking Utensils
- Geodesic Domes
- Hemispherical Bowls
Really appreciate, taking the time to read the article about the Hemisphere.
So keep in touch with MechHeart and feel free to add some comments here and share your knowledge with us.
0 Comments